Water Vapor Pressure Calculator - Antoine Equation
   AJ Design Software


Water Vapor Pressure Equations Formulas Calculator

Science Physics Chemistry Thermodynamics Boiling Point

To view this page ensure that Adobe Flash Player version 10.2.0 or greater is installed.




Description:

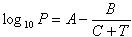
This calculator uses the Antoine equation to solve for the vapor pressure of water given a temperature. In addition, it provides a vapor pressure versus temperature line graph and plot. The Antoine equation and its rearrangement to solve for pressure are below.

Antoine equation which is used to calculate vapor pressure given temperature. This is in the log form.
Antoine equation arranged to solve for vapor pressure.

Antoine Constants for Water
Water Temperature
A B
C
1 to 100 degrees Celsius
8.07131 1730.63 233.426
99 to 374 degrees Celsius
8.14019 1810.94
244.485

Notes,

1. The equation is valid from 1 to 374 degrees Celsius.
2. There is an over lap between 99 and 100 degrees Celsius where both sets of constants can be used.
3. The calculated pressure is the point in which water will boil at the entered temperature.
4. The equation uses Celsius for temperature and pressure is in mmHg.